在博易大师(V5.5.41)日内周期中绘制周高低点位出现的问题 [博易POBO]
咨询内容:


<!-- 咨询内容:
周低点:=STKDATA('',7,'L'),NODRAW;
STICKLINE(1,周高点,周高点,10,1),COLOR0000FF;
STICKLINE(1,周低点,周低点,10,1),COLOR00FF00; 这是指标编写的问题。 来源 程序化久久网
在博易大师(V5.5.41)日内周期中绘制周高低点位出现的问题
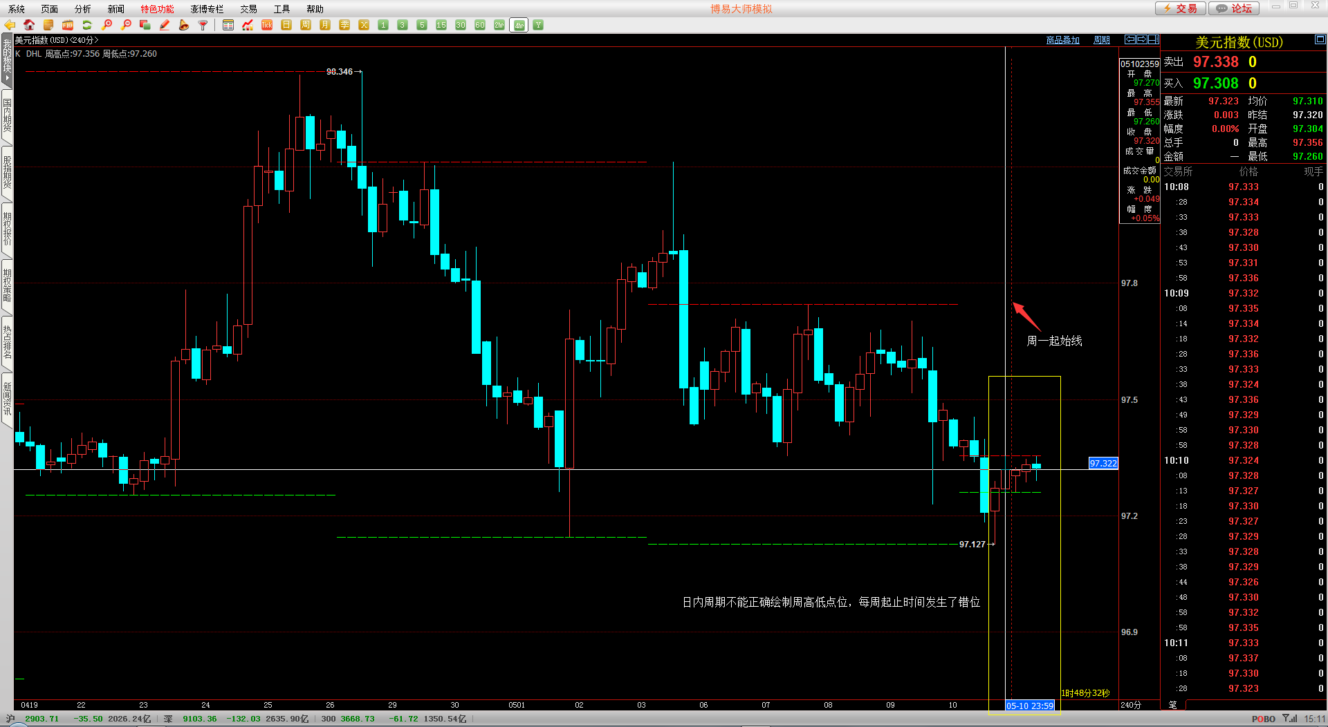
我使用以下脚本,本意要在日图及日内周期图上绘制每周的高点点位线,日图能正常显示,日内图发生了周期错位及日内高低点位与周高低点位不一致的现象,见图

<!-- 咨询内容:附件 :
-->
来源:程序化99网( WWW.CXH99.COM )
博易技术人员: 指标脚本:周高点:=STKDATA('',7,'H'),NODRAW;周低点:=STKDATA('',7,'L'),NODRAW;
STICKLINE(1,周高点,周高点,10,1),COLOR0000FF;
STICKLINE(1,周低点,周低点,10,1),COLOR00FF00; 这是指标编写的问题。 来源 程序化久久网
有思路,想编写各种指标公式,交易模型,选股公式,还原公式的朋友
可联系技术人员 QQ: 262069696 或微信号:cxh99cxh99 进行 有偿收费 编写!
(注:由于人数限制,QQ或微信请选择方便的一个联系我们就行,加好友时请简单备注下您的需求,否则无法通过。谢谢您!)
相关文章
-
没有相关内容

会员登录/注册